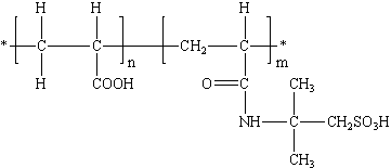
Structural Formula:
.gif)
Properties and Uses
AA / AMPS to acrylic acid and 2-acrylamido-2-methylpropane sulfonic acid (AMPS) copolymerized. Because the molecular structure contains good scale inhibition and dispersion and strong polar carboxylic acid group, can improve calcium tolerance of water calcium phosphate, calcium carbonate, zinc scale significant scale effect, prevent oxidation iron deposition, especially calcium phosphate scale rate. And excellent dispersion properties. Organic phosphine complex, synergistic effect is obvious. Particularly suitable for high pH, high alkalinity, water high hardness, is to achieve one of the best high concentration scale dispersant operation.
AA / AMPS also be used as textile auxiliaries; pulp and paper system inhibitors.
Technical indicators in line HG / T3642-1999
| Item |
Index |
| Appearance |
Colorless to pale yellow viscous liquid |
| Solid content % ≥ |
30 |
40 |
| Free monomer (acrylic acid dollars)% ≤ |
0.5 |
0.8 |
| Density(20℃)g/cm3 ≥ |
1.10 |
1.15 |
| Limiting viscosity number(30℃) dl/g |
0.055 - 0.100 |
- |
| pH(1%Solution) |
2.0~3.0 |
3.5 - 4.5 |
Use:
AA / AMPS with organic phosphonates, zinc compound used, the suitable pH is 7.0 to 9.5.
Packaging and Storage:
AA / AMPS plastic barrel, 25kg, 200 kg or 250 kg, can be determined according to user requirements. AA / AMPS storage period of months.
Safety and Protection:
AA / AMPS is acidic, pay attention to the operation of labor protection, should avoid contact with skin and eyes, rinse with plenty of water after contact.
|